Volume 14
January - December, 2020
Article 1
Foot Velocity and Coefficient of Restitution in a Soccer Ball
by Thomas Bulow
Article 1
Foot Velocity and Coefficient of Restitution in a Soccer Ball
by Thomas Bulow
The coefficient of restitution (COR) of a soccer ball was measured by using a high speed camera to record an instep kick at a range of speeds typical of normal play. It was found that the COR decreased linearly as foot impact velocity increased, indicating increased energy loss with increased foot impact velocity.
Article 2
Sucrose Concentration and Vitamin C in Pickled Guavas
by Athipattaraphong, K., Chairatchaneeboon, M., Chotnapalai, P., Park, S.
Article 2
Sucrose Concentration and Vitamin C in Pickled Guavas
by Athipattaraphong, K., Chairatchaneeboon, M., Chotnapalai, P., Park, S.
The concentration of vitamin C in fresh guava was compared to that of pickled guava with different concentrations of sugar in the pickling solution. The vitamin C level was measured using redox titration with an iodate solution. The results indicate that while there is variability in vitamin C concentration in fresh guavas, more than 50% of vitamin C degrades over time in pickled guavas without sugar, and pickling guavas with sugar according to the Thai traditional method helps preserve the vitamin C level to a slight degree.
Article 3
Friction Coefficient of a Ladyfinger Banana Peel
by Boonrawd, T., Neerapattanagul, S., Son, G., Thaweesuksathain, J.
Article 3
Friction Coefficient of a Ladyfinger Banana Peel
by Boonrawd, T., Neerapattanagul, S., Son, G., Thaweesuksathain, J.
The coefficient of static friction of a lady finger banana peel was investigated for varying values of vertical compression force. The peel was placed on a tile surface, with a person placing her Converse sneaker on the peel and pushing down with force ranging from approximately 100 N to 700 N. The foot was pulled forward until it slipped, and the slipping force recorded. It was found that the coefficient of static friction of the banana peel is approximately 0.09 for compression forces below 600 N, and 0.15 for forces above 600 N.
Article 4
The Kinematics of Falling Pterocymbium Tinctorium Seeds
by Ikegami, A., Pornananrat, N., Vuthipraphan, C., Boonvilai, T.
Article 4
The Kinematics of Falling Pterocymbium Tinctorium Seeds
by Ikegami, A., Pornananrat, N., Vuthipraphan, C., Boonvilai, T.
Pterocymbium tinctorium (Thai:ปออีเก้ง, Por-Ae-Keang ) is a tree found in Thailand and other Southeast Asian countries. The fruit, containing a single seed with an attached single wing extending to one side and a hollow boat-shaped structure that braces the wing in flight, is known as a samara. The vertical terminal velocity and spin frequency of the falling samara were studied for a representative sample of the population. The effect of mass on terminal velocity and spin frequency was then investigated for a single typical seed. The motion was recorded with a high-speed camera. The terminal velocity and spin rate were determined and the coefficient of lift was estimated. In the population study, no significant correlation was found between seed mass, wing area, terminal velocity, and frequency. It is concluded that parameters such as angle of attack or wing curvature are likely have a larger impact on the aerodynamics. As the mass of one selected seed was increased, terminal velocity, frequency, and lift force also increased, following the trend found elsewhere for Dipterocarpus Alatus samaras. It was shown that 80-90% of the vertical retarding force generated during the fall was from lift and that the coefficient of lift for the seed used was close to constant, varying between about 0.3 and 0.4.
The relationship between the resonant frequency and water level in a Jingdezhen porcelain bowl was investigated for the first two modes of resonance. The range of water levels studied was between 0 and 39 mm below the rim. It was found that the non-cylindrical bowl can be modeled by an equation originally derived for cylindrical wine glasses for both the first and second resonance modes.
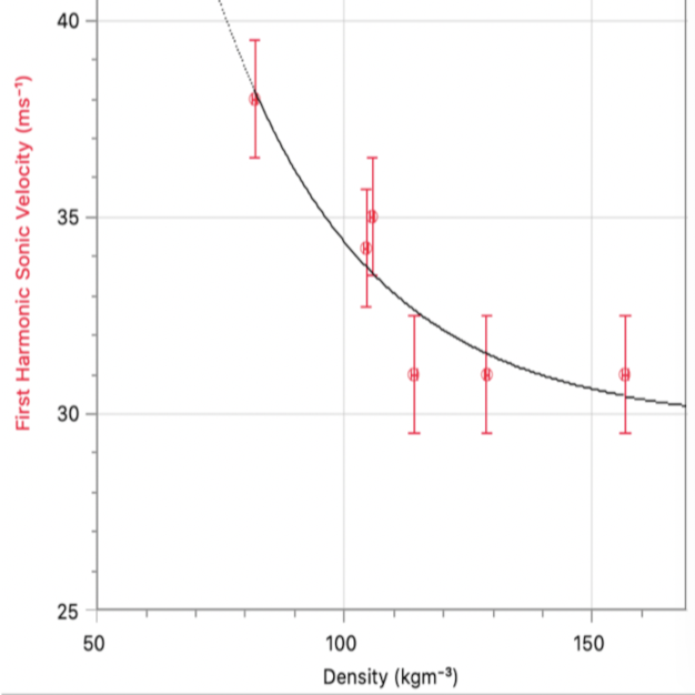
Frank S. Crawford’s application (1982) of the resonance in air model to find the speed of sound in liquids and foams in glass and ceramic cylinders is tested for water and albumen foam at different depths in a large beer mug. It is found, in contradiction of popular belief, that the model fails at most depths for water in a beer mug, but holds for the foam at all depths. No end correction is required and the velocity of sound in the albumen foam is that expected for a 90% air-filling fraction with water, and is density dependent.